菜单 Menu
亚新电子官方网站中国有限公司
公司简介
企业概况
企业荣誉
企业视频
工作清单
公司资质
新闻中心
企业动态
行业动态
业务领域
工程招标
工程造价
工程咨询
招标公告
招标公告
中标公示
政策法规
联系我们
业务部电话
公司地址
更多菜单 Menu
招标公告
中标公示
主页
>
新闻中心
>
行业动态
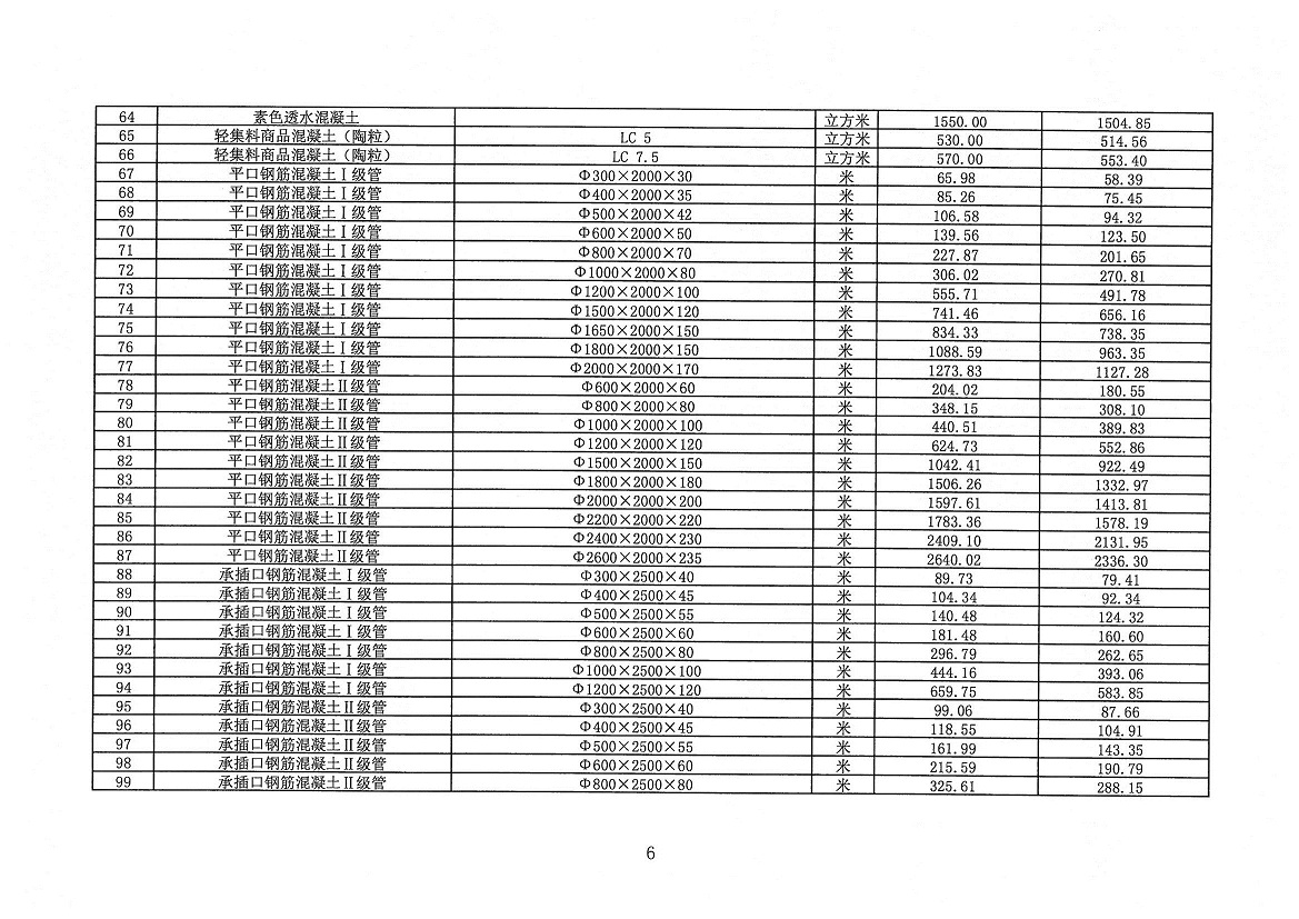
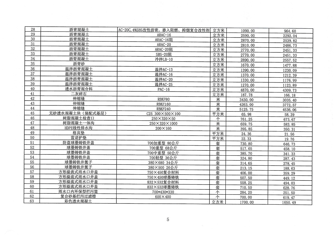
行业动态|2020年长春市结算文件正式发布
上一篇:
行业动态|关于在房屋建筑和市政基础设施工程中推行施工过程结算的实施意见
下一篇:
行业动态|住房和城乡建设部办公厅关于印发工程造价改革工作方案的通知
×
下载文件
开云官方在线入口
|
亚新平台
|
星空体育网页版登录入口
|
开云手机官方网站
|
万搏平台APP
|
亚新网页版中国有限公司
|
环球电竞(中国)股份有限公司
|
九州网页版入口官网中国有限公司
|
江南手机网页版登录入口
|